ZHCSUA9A March 2024 – February 2024 PCM6140-Q1
PRODUCTION DATA
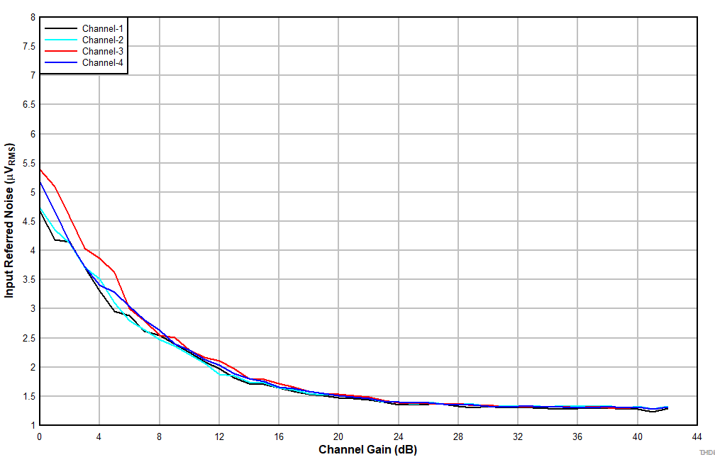
TA = 25°C、AVDD = 3.3V、IOVDD = 3.3V、fIN = 1kHz 正弦信號、fS = 48kHz、32 位音頻數據、BCLK = 256 × fS、TDM 目標模式、PLL 開啟、DRE_LVL = –36dB、通道增益 = 0dB 且線性相位抽取濾波器(除非另有說明);所有性能測量均通過 20kHz、低通濾波器和 A 加權濾波器完成

| 差分輸入 |

| 單端輸入 |

| AVDD = 1.8V 且 VREF = 1.375V 時的差分輸入 |


| 差分輸入 |





| 差分輸入 |

| 單端輸入 |

| AVDD = 1.8V 且 VREF = 1.375V 時的差分輸入 |


| 單端輸入 |



