ZHCSUA9A March 2024 – February 2024 PCM6140-Q1
PRODUCTION DATA
為了去除直流偏移分量并衰減錄音數據中不需要的低頻噪聲成分,該器件支持可編程高通濾波器 (HPF)。HPF 不是獨立于通道的濾波器設置,但全局適用于所有 ADC 通道。該 HPF 使用一階無限脈沖響應 (IIR) 濾波器構建,并具有足夠高的效率來濾除信號中可能的直流分量。表 7-17 展示了可用的預定義 –3dB 截止頻率,該頻率可使用 P0_R107 的 HPF_SEL[1] 寄存器位進行設置。此外,為了針對特定應用實現自定義的 –3dB 截止頻率,該器件還允許在 HPF_SEL[1:0] 寄存器位設置為 2'b00 時對一階 IIR 濾波器系數進行編程。圖 7-17 展示了 HPF 濾波器的頻率響應圖。
| P0_R107_D[1:0]:HPF_SEL[1:0] | -3dB 截止頻率設置 | 16kHz 采樣速率下的 -3dB 截止頻率 | 48kHz 采樣速率下的 -3dB 截止頻率 |
|---|---|---|---|
| 00 | 可編程一階 IIR 濾波器 | 可編程一階 IIR 濾波器 | 可編程一階 IIR 濾波器 |
| 01(默認值) | 0.00025 × fS | 4Hz | 12Hz |
| 10 | 0.002 × fS | 32Hz | 96Hz |
| 11 | 0.008 × fS | 128Hz | 384Hz |
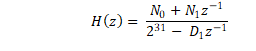
圖 7-17 HPF 濾波器頻率響應圖方程式 1 給出了一階可編程 IIR 濾波器的傳遞函數:

對于具有默認系數的該一階可編程 IIR 濾波器,其頻率響應在增益為 0dB(全通濾波器)時是平坦的。主機器件可以通過對表 7-18 中的 IIR 系數進行編程來覆蓋頻率響應,從而實現高通濾波或任何其他必要濾波所需的頻率響應。如果 HPF_SEL[1:0] 設置為 2'b00,則主機器件必須寫入這些系數值以實現所需的頻率響應,然后再對任何 ADC 通道上電以進行錄音。這些可編程系數是 32 位二進制補碼數。表 7-18 展示了一階 IIR 濾波器的濾波器系數。
| 濾波器 | 濾波器系數 | 默認系數值 | 系數寄存器映射 |
|---|---|---|---|
| 可編程一階 IIR 濾波器(可分配至 HPF 或任何其他所需濾波器) | N0 | 0x7FFFFFFF | P4_R72-R75 |
| N1 | 0x00000000 | P4_R76-R79 | |
| D1 | 0x00000000 | P4_R80-R83 |