ZHCAAB9E February 2021 – March 2021 TPS1H000-Q1 , TPS1H100-Q1 , TPS1H200A-Q1 , TPS1HA08-Q1 , TPS25200-Q1 , TPS27S100 , TPS2H000-Q1 , TPS2H160-Q1 , TPS2HB16-Q1 , TPS2HB35-Q1 , TPS2HB50-Q1 , TPS4H000-Q1 , TPS4H160-Q1
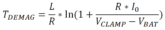
退磁時間 TDEMAG 是指電流從 I0 衰減到零所需的時間。此時間是之后計算總退磁能量所必需的參數。
為了計算 TDEMAG,可在總電流等于 0 時求解Equation38。




Equation42 表明退磁時間與時間常數 L/R 成正比,并且隨著 I0 的增大、VCLAMP 的降低和 VBAT 的升高而增加。