ZHCUC32C March 2012 – June 2024 UCD3138 , UCD3138064 , UCD3138064A , UCD3138128 , UCD3138A , UCD3138A64
按照第 1.4 節中說明的方法,可以重新調整電流環路 PID 系數。向下滾動圖 14-3 中所示的窗口,即可得到圖 9-14。
圖 12-13 展示了電流環路補償詳細信息。電流控制環路中使用了兩組 PID 系數:A 組和 B 組。圖 14-5 展示了 A 組。圖 14-5 的左側展示了相應的波特圖。
當輸入線路電壓介于 90VAC 和 160VAC 之間時,使用 A 組的系數。當輸入線路電壓高于 160VAC,直至最大輸入為 264VAC 時,使用 B 組的系數。
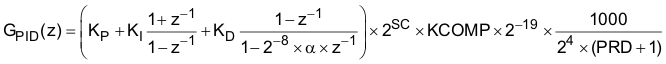
在 UCD3138 內使用時,實際 PID 控制會重新調整圖 14-5 中顯示的值。

PRD 是用于生成 DPWM 周期結束點的閾值。DPWM 的核心是周期計數器,該計數器可以從 0 計數至 PRD,然后進行復位,再重新開始計數。在單相 PFC 設計中,將 KCOMP 設置為等于 PRD。
在 Design 的電流控制頁面中,可重新調整 PID 系數。點擊 Mode 選擇相應的轉換,GUI 還可提供從 PID 系數到零點和極點的轉換結果。還可以更改零點和極點,然后使用 GUI,點擊 Mode 來再次選擇 KP、KI 和 KD,將其轉換為 PID 系數。請注意,這兩個零點可以是復數共軛。當一組 PID 系數導致產生復數共軛零點時,GUI 會彈出一條消息,通知用戶需要生成 Q 和 ωr,而不是實數零點。在這種情況下,用戶可能需要根據方程式 6 計算復數共軛零點。
圖 14-5 電流環路重新調優