ZHCUC32C March 2012 – June 2024 UCD3138 , UCD3138064 , UCD3138064A , UCD3138128 , UCD3138A , UCD3138A64
在 z 域中,使用以下公式可在 UCD3138 CLA 中形成用于單相 PFC 電流控制環路的 PID 控制:

如果使用雙線性變換將方程式 3 轉換為 s 域等效公式,則結果有兩種形式。一種形式是使用兩個實數零點:

這兩個零點也可以通過復數共軛的方式來表示,在這種情況下,

兩個復數共軛零點表示為:



在以下情況下,復數共軛零點會變為實數零點:

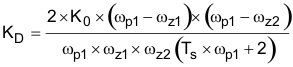
電流環路中的檢測電路形成一個低通濾波器,并向環路中添加一個極點:


電流閉環傳遞函數如下所示:

其中
可以通過假設電流傳感器采樣周期 TS 遠小于 PFC 扼流圈 LB 和 RB 的時間常數來計算這些參數,其中 LB 是扼流電感,RB 是扼流圈直流電阻。選擇采樣頻率來滿足以下公式:

上述假設成立時,可以忽略采樣的延遲效應,并且在我們知道極點和零點的位置后可以確定參數。



