ZHCSOY9 december 2021 UCC28781
PRODUCTION DATA
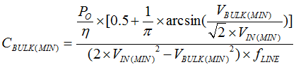
For off-line rectified-AC applications, the total input bulk capacitor (CBULK) should be sized to provide energy from the peak of the minimum input AC-line rms voltage (VIN(MIN)) to the minimum allowable voltage (VBULK(MIN)) for the power conversion stage. Due to the transition-mode operation, too low of VBULK(MIN) selection results in higher rms current at VIN(MIN) and affects the full-load efficiency, while too high of VBULK(MIN) enlarges the volume of the bulk capacitor. This equation does not account for the hold-up time requirement over AC-line dips and drop-outs.

For DC-input applications, the value of CBULK depends on the nature of the input: