ZHCSFO3D November 2016 – August 2021 LM5170-Q1
PRODUCTION DATA
Assuming the total resistance along the current path including the external power cables, PCB current tracks, and battery internal impedances is 50 mΩ, according to Equation 36, the compensation network for the inner current loop is determined by:

Selecting the closest standard values for the compensation network, namely,
RCOMP1 = RCOMP2 = 634 Ω
CCOMP1 = CCOMP2 = 150 nF
CHF1 = CHF2 = 1 nF
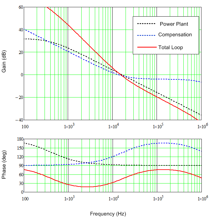
These initial component selections produce a total loop phase margin of 90°, which is larger than necessary. Fine tune the loop compensation by reselecting CCOMP1 = CCOMP2 = 15 nF, then the phase margin is 45° for an optimal dynamic performance.
Figure 9-12 shows the Bode Plots of the power plant, the compensation gain, and the resulting total open loop.
Figure 9-12 Bode Plots of the Example Converter