ZHCSFO3D November 2016 – August 2021 LM5170-Q1
PRODUCTION DATA
To achieve the highest regulation accuracy over wider load range, the user should target to create 50-mV of VCS at full current. Therefore, RCS should be selected as Equation 47:

Ideally, a 1.5-m? current sense resistor should be chosen for this example. However, owing to availability, a standard non-inductive 1-m? current sense resistor is selected, namely,

Because RCS conducts the same current as the power inductor, its power dissipation is also determined by ILm_RMS.
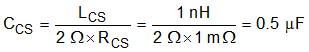
If the selected RCS has parasitic inductance (assuming it is 1 nH), it should be compensated, and the compensation capacitor CCS should satisfy Equation 37.

Select the closest standard capacitor, CCS = 0.47 μF.
For optimal performance, it is good practice to add a 100-pF ceramic capacitor at each current sense pin to filter out common-mode noise, as shown in Figure 9-9.
Figure 9-9 Current Sense With Compensation to Cancel the Effects of Parasitic Inductances