ZHCSI45A April 2018 – June 2025 LM3478Q-Q1
PRODUCTION DATA
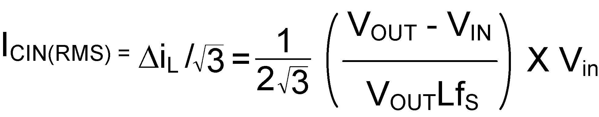
由于升壓轉換器的輸入端存在電感器,因此輸入電流波形是連續的三角形,如圖 7-3 所示。電感器確保輸入電容器能夠承受相當低的紋波電流。但是,隨著輸入電容器變小,輸入紋波也會增加。輸入電容器的均方根電流使用方程式 31 計算。

輸入電容器應能夠處理均方根電流。盡管輸入電容器在升壓應用中并不那么重要,但低電容值可能導致阻抗相互作用。因此,應選擇一個 10μF 到 20μF 范圍內的優質電容器。如果使用低于 10μF 的值,則阻抗相互作用或開關噪聲的問題可能會影響 LM3478Q-Q1。為了提高性能,尤其是當 Vin 低于 8V 時,建議在輸入端使用 20Ω 電阻器來提供 RC 濾波器。此電阻器與 VIN 引腳串聯,并只需將一個旁路電容器直接連接到 VIN 引腳(請參閱圖 7-5)。此配置中需要一個 0.1μF 或 1μF 的陶瓷電容器。大容量輸入電容器和電感器將在電阻器的另一側與輸入電源連接。
圖 7-5 降低 IC 輸入噪聲