ZHCSI85C May 2018 – November 2024 LM26420-Q1
PRODUCTION DATA
可通過以下方式估算整個 LM26420-Q1 直流/直流轉換器效率。

或

以下公式顯示了用于確定最顯著功率損耗的計算方法。未討論總計小于 2% 的其他損耗。
功率損耗 (PLOSS) 是轉換器中兩種基本損耗類型的總和:開關和導通。導通損耗通常在較高的輸出負載下占主導地位,而開關損耗相對固定,在較低的輸出負載下占主導地位。確定損耗的第一步是計算占空比 (D):

VSW_TOP 是導通時內部 PFET 上的壓降,等于:
VSW_BOT 是導通時內部 NFET 上的壓降,等于:
如果考慮電感器上的壓降 (VDCR),則公式變為:?

另一個顯著的外部功率損耗是輸出電感器中的導通損耗。公式可以簡化為:
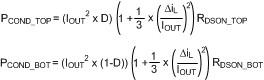
LM26420-Q1 導通損耗主要與兩個內部 FET 相關:

如果電感器紋波電流相當小,則導通損耗可簡化為:
開關損耗也與內部 FET 相關。開關損耗發生在開關導通和關斷轉換期間,此時電壓和電流重疊,從而導致功率損耗。確定這種損耗的最簡單方法是憑經驗測量開關節點處的開關上升和下降時間(10% 至 90%)。
開關功率損耗的計算方法如下:
另一項損耗是內部電路運行所需的功率:
IQ 是靜態工作電流,對于 2.2MHz 頻率選項,其值通常大約為 8.4mA (IQVINC = 4.7mA + IQVIND = 3.7mA)。
由于轉換器中的死區時間控制邏輯,頂部和底部 FET 的導通和關斷之間存在較小的延遲(約為 4ns)。在此期間,底部 FET 的體二極管導通,壓降為 VBDIODE(大約 0.65V)。這樣,電感器電流就可以循環到輸出端,直到底部 FET 導通,電感器電流流經 FET。由于該體二極管導通,會產生少量功率損耗,計算方法如下:
典型應用的功率損耗為:
| 設計參數 | 值 | 設計參數 | 值 |
|---|---|---|---|
| VIN | 5V | VOUT | 1.2V |
| IOUT | 2A | POUT | 2.4W |
| FSW | 2.2MHz | ||
| VBDIODE | 0.65V | PBDIODE | 5.7mW |
| IQ | 8.4mA | PQ | 42mW |
| TRISE | 1.5ns | PSWR | 4.1mW |
| TFALL | 1.5ns | PSWF | 4.1mW |
| RDSON_TOP | 75m? | PCOND_TOP | 81mW |
| RDSON_BOT | 55m? | PCOND_BOT | 167mW |
| INDDCR | 20m? | PIND | 80mW |
| D | 0.262 | PLOSS | 384mW |
| η | 86.2% | PINTERNAL | 304mW |
這些計算假設結溫為 25°C。由于內部發熱,RDSON 值較大;因此,必須首先計算內部功率損耗 (PINTERNAL) 才能估算結溫升高。