KOKA004B january 2018 – july 2021 LF347 , LF353 , LM348 , MC1458 , TL022 , TL061 , TL062 , TL071 , TL072 , UA741
??? ?? ?? ?? AVD? VCM? ???? ????? ?? ?? ?? ??? ??? ?? ?? ??? ????. ? ????? ?? ?? ??? ???? ?????. ? ??? ?? ??? ???? ????? ?? ??? ?????.
AVD? DC ?? ??? ??? ????? AVD? ???? ?? ????. ?? 5-12? ???? ?? AVD ???? ?????.
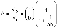
??? ??? ???? ??? AVD? ?? ??? ? ? ????. ??? 16? ??, ??? ?? ??? ???? ?? ??? ?? ? ????:

???,

??? ??? ???? ??? ??? ??? ? ????. ? ???? 1/ab ?? ?? ???? ? ? ????. a ?? AVD? 1/b? ???? ??, ?? ???? ?? ?? ??? ?? ? ????