KOKA004B january 2018 – july 2021 LF347 , LF353 , LM348 , MC1458 , TL022 , TL061 , TL062 , TL071 , TL072 , UA741
??? ?? ???? ? ???? ?? ????? ????. ??? ?? ??? ???? ??? ????? ?????. ???? ?? ??? ??? ?? ??? ?????? ??? ??? ??? ??? ? ????. ?? 2-1? ???? ?? ??? ????, ??? ???? ?????. ??? ?? ?? ??? ??? ???? ?? ???? ?????. + (Vp)? ???? ?? ?? ??? ??? ????? ??, – (Vn)? ?? ??? ?????.
?? 2-1 ??? ???? ??? ???? ???? ?? ?? Vi? ?? ?? Vo ??? ???? ???? ???.
???? ?? ??? ??? ?? ????? ??? ????.
VnVn??? ??? Vo??? ?? ???? R1? R2? ??? ??? ? ????. ???? ??? ????.

???,

???? b? ??? ???? ???. ?? ??? ???? ????? ??? ???? ?????.
??? ??? ???? ??? ????.
? ??? ???? ??? ?? ??? ?? ? ????.
??? ? ??? ???? ??? ?? ? ????.

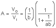
? ??? ??, ?? 2-1? ?? ??? ??? ?? A? ????? ?? ? ? ????. Vi? VO? ??? ?????, ? ???? ??? ????? ???.
A? ?? ??? ??? ?? ?? ????, a? ?? ?? ?????. ? ab? ?? ????? ???. ? ??? ??? ???? ???? ?? ???? ??? ????? ??? ???? ??? ?????.