KOKA004B january 2018 – july 2021 LF347 , LF353 , LM348 , MC1458 , TL022 , TL061 , TL062 , TL071 , TL072 , UA741
Texas Instruments? ??? ????? ?? ???? ??? ??? ???? ??? ?? ?? ????? ??? ? ????:
?? ?? ???(B1)? ?? ??? ?(B1)? ?????. B1? ?? ???? AVD? 1? ???? ????:
GBW? ?? ?? ???? ??? ???? ? ?? ???? ??-??? ?? ????:
?? ??? ? ?? ??(fm)? ?? ??? ?? ?? ??? 180° ??? ?? ????:
?? ??? ?? ??? 180° ?? ??? ? ?? ??? ????:
?? ?? ?? ???(BOM)? ??? ??? ?? ?? ???? ????:
BOM? ???? ??? slew rate???. ???? ????? ??? slew rate? ??? ???? ??? ?? ?? ??? ???? ??? ??? ??? ???? ????.
?? ???? ????? ??? ??? ?? ??? ?? ????? ???? CC? ???? ????(?? 4-1). ??? ??? ??? ??? ?? ?? ????? ???. ???? ??? ??? 180° ?? ??? ?? ?? ?? ???? ?? ?? ??? ?? ???? ????? ????. ?? 4-1? ?? ???? ??? ??????. ?? ?? ??? ??? ?? ??? ?? ???? ?????. ?? 5-11? ??? ?????? ??? ??? ????? ??? ?? ?? ?? ???? ?? ???? ?? ? ??? ??? ?????. ?? 5-12? ??? ??? ???? ???, ??? ?? ?? ???? ????.
?? ????? AVD? ???? ??? ????? ?? ? ? ????. ?? ??? ???? ??? ??? ???? ??? AVD(???? B1 ?? GBW)? ?? ??? ? ? ????. ?? ??? 16? ??? ??? ???? ?? ??? ??? ?? ?? ? ????:

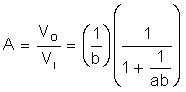
??? ??? ???? ??? ??? ??? ? ????. ? ???? 1/ab ?? ?? ???? ? ? ????. ?? ???? ???? a ?? AVD? 1/b? ???? ?? ?? ?, a? ?? ???? ?? ?? ??? ?? ? ????.
?? ??(φm)? ?? ??? ?? ?? ???? ?? ???? ?????. ??-to-?? ?? ?? ???? ?? ????? ????, ??? ??? ??? ? ??? ?? ??? ?????. ??? ???? ?? ??? ?? ??? ????, ??? ???? ??-to-?? ??? ???? ???? CMOS ?? ???? ??? ??? ???? ??? ?????.
?? 5-11 ???? ? ?? ?? ?? ?? ? ?? ?? vs. ???
?? 5-12 ?? ??? ? ?? ?? ?? ? ?? ?? vs. ??? ???