ZHCSL91B October 2020 – March 2022 TPS25947
PRODUCTION DATA
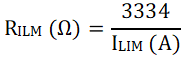
The TPS259470x/2x (Active Current Limit) variants respond to output overcurrent conditions by actively limiting the current after a user adjustable transient fault blanking interval. When the load current exceeds the set overcurrent threshold (ILIM) set by the ILM pin resistor (RILM), but stays lower than the short-circuit threshold (2 × ILIM), the device starts discharging the ITIMER pin capacitor using an internal 1.8-μA pulldown current. If the load current drops below the overcurrent threshold before the ITIMER capacitor (CITIMER) discharges by ΔVITIMER, the ITIMER is reset by pulling it up to VINT internally and the current limit action is not engaged. This allows short load transient pulses to pass through the device without getting current limited. If the overcurrent condition persists, the CITIMER continues to discharge and after it discharges by ΔVITIMER, the current limit starts regulating the HFET to actively limit the current to the set overcurrent threshold (ILIM). At the same time, the CITIMER is charged up to VINT again so that it is at its default state before the next overcurrent event. This ensures the full blanking timer interval is provided for every overcurrent event. Equation 7 can be used to calculate the RILM value for a desired overcurrent threshold.

The duration for which transients are allowed can be adjusted using an appropriate capacitor value from ITIMER pin to ground. The CITIMER value needed to set the desired transient overcurrent blanking interval can be calculated using Equation 8 below.

Figure 8-10 TPS259470x/2x Active Current Limit Response During active current limit, the output voltage drops resulting in increased device power dissipation across the HFET. If the device internal temperature (TJ) exceeds the thermal shutdown threshold (TSD), the HFET is turned off. After the part shuts down due to TSD fault, it can either stay latched off (TPS25947xL variants) or restart automatically after a fixed delay (TPS25947xA variants). See Overtemperature Protection (OTP) for more details on device response to overtemperature.