KOKA015A June 2020 – November 2022 LM5156 , LM5156-Q1 , LM51561 , LM51561-Q1 , LM51561H , LM51561H-Q1 , LM5156H , LM5156H-Q1
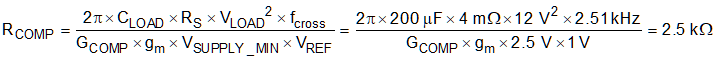
RCOMP ?? ?? ??? ?? ???? ?? ??? ????. ?? ???? ???? ?? ??? ?? ??? ? ?? ?????. ??? ?? ????? ???? 2.51kHz? ?? ???? Equation25? ???? RCOMP? ?????.

???
RCOMP? 2.49kΩ?? ?????. RCOMP ?? ?? ??? ????? ???? ????? ?? ??? ??? ?? ?? ???? ????? ????? ?? ? ??? ???.