ZHCSWR5D September 2008 – August 2024 UCC25600
PRODUCTION DATA
在啟動和故障恢復條件下,始終會執行軟啟動以防止諧振回路電流過大,并確保零電壓開關 (ZVS)。在軟啟動期間,開關頻率會增加。軟啟動時間可以通過在 SS 引腳與地之間連接一個電容器來進行編程。
軟啟動引腳還用作器件的開/關控制引腳。通過將 SS 引腳主動拉至 1V 以下,該器件會被禁用。移除下拉電阻后,SS 引腳電壓會因內部充電電流而升高。在 SS 引腳電壓高于 1.2V 后,該器件便開始生成柵極驅動器信號并進入軟啟動模式。軟啟動的時間序列如圖 7-1 所示。
圖 7-1 軟啟動序列為了防止開啟命令和柵極驅動器信號出現之間存在長延遲,SS 引腳電流設置為兩個不同的電平。當 SS 引腳電壓低于 1.2V 時,其輸出電流為 175μA。這種高電流可在短時間內將軟啟動引腳電容器充電至 1.2V,并可縮短延時時間。該延時時間可以通過以下公式進行計算:

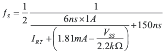
軟啟動期間的開關頻率由流出 RT 引腳的電流和 SS 引腳上的電壓決定。開關頻率可根據以下公式計算:

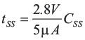
SS 引腳電壓達到 4V 后,軟啟動周期完成,開關頻率變為 RT 引腳電流所需的相同值。將 SS 引腳從 1.2V 充電到 4V 所用的時間定義為軟啟動時間,計算公式如下:

為了確保可靠運行,柵極驅動器會在 GD2 變為高電平時重新啟動。這可以避免系統啟動期間的不確定性。