at operating temperature TJ
= 25°C, VOUT(NOM) = 0.8 V, VIN = VOUT(NOM) + 0.1 V,
VBIAS = VOUT(NOM) + 1.4 V, IOUT = 1 mA,
VEN = VIN, CIN = 2.2 μF, COUT =
2.2 μF, and CBIAS = 0.47 μF (unless otherwise noted)
Figure 6-1 Output Voltage Accuracy vs VIN
Figure 6-3 Output Voltage Accuracy vs IOUT
Figure 6-5 VBIAS Dropout
Voltage vs IOUT
Figure 6-7 VBIAS Input
Current vs VBIAS
Figure 6-9 VBIAS Shutdown
IQ vs VBIAS
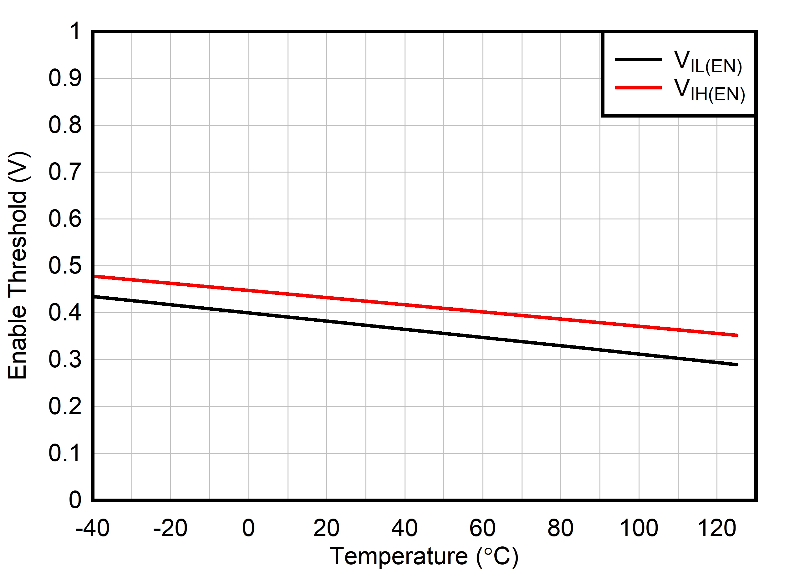
Figure 6-11 Enable Threshold vs
Temperature
Figure 6-13 VBIAS UVLO vs
Temperature
Figure 6-15 Start-Up With
VIN Before VBIAS and VEN
Figure 6-17 Start-Up With
VIN and VEN Before VBIAS
| tr =
tf = 10 μs, IOUT = 500
mA |
Figure 6-19 Line Transient From 1 V to
2.2 V
Figure 6-21 Load Transient From 100 μA
to 1 A
Figure 6-23 PSRR vs Frequency and
VIN – VOUT
Figure 6-25 PSRR vs Frequency and
IOUT
| YCK package,
VOUT = 0.8 V |
Figure 6-27 Output Noise vs Frequency
and IOUT
Figure 6-2 Output Voltage Accuracy vs
VBIAS
Figure 6-4 VIN Dropout
Voltage vs IOUT
Figure 6-6 VBIAS Input
Current vs VBIAS
Figure 6-8 VIN Shutdown
IQ vs VIN
Figure 6-10 VOUT Foldback
Current Limit vs Output Current
Figure 6-12 VIN UVLO vs
Temperature
Figure 6-14 Start-Up With
VBIAS Before VIN
Figure 6-16 Start-Up With
VIN and VBIAS Before VEN
| tr =
tf = 10 μs, IOUT = 1
mA |
Figure 6-18 Line Transient From 1 V to
2.2 V
| tr =
tf = 10 μs, IOUT = 1 A |
Figure 6-20 Line Transient From 1 V to
2.2 V
Figure 6-22 Load Transient From 100 μA
to 1 A
Figure 6-24 PSRR vs Frequency and
COUT
Figure 6-26 PSRR vs Frequency and
VBIAS – VOUT
| DRV package,
VOUT = 1.8 V, BIAS = 5
V |
Figure 6-28 Output Noise vs Frequency
and IOUT