ZHCSRE2A december 2022 – april 2023 TPS552892
PRODUCTION DATA
TPS552892 采用平均電流控制方案。內部電流環路使用內部補償,要求電感值必須大于 1.2/fSW。外部電壓環路需要外部補償。COMP 引腳是內部電壓誤差放大器的輸出。一個由電阻器和陶瓷電容器組成的外部補償網絡連接至 COMP 引腳。
TPS552892 以降壓模式或升壓模式運行。因此,降壓和升壓運行模式都需要環路補償。從環路穩定性的角度來看,兩種補償中限制性較高的應被選為整體補償。通常,對于設計為在降壓模式或升壓模式下運行的轉換器,由于存在右半平面零點 (RHPZ),升壓模式補償設計具有更嚴格的限制。
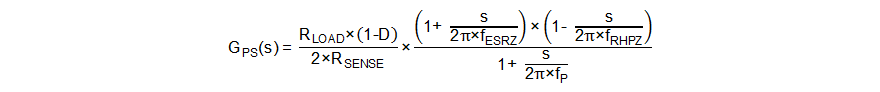
升壓模式下的功率級可通過公式 19 建模。

其中
功率級有兩個零點和一個極點,由輸出電容器和負載電阻生成。使用方程式 20 到公式 22 來計算這些值。



內部跨導放大器與 COMP 引腳上的補償網絡構成了環路的控制部分。控制部分的傳遞函數如公式 23 所示。

其中
開環總增益是 GPS(s) 和 GC(s) 的乘積。下一步是選擇環路交叉頻率 fC,在該頻率下開環總增益為 1,即 0dB。環路增益在交叉之前保持在 0dB 以上的頻率越高,環路響應越快。通常,環路增益在 0dB 交叉時的頻率不高于開關頻率 fSW 的 1/10 或 RHPZ 頻率 fRHPZ 的 1/5(以較低者為準)。
然后根據公式 24 到公式 26 設置 RC、CC 和 CP 的值。

其中


如果計算得出的 CP 小于 10pF,則可以將其保持開路狀態。
設計大于 45° 相位裕度和大于 10dB 增益裕度的環路,可消除線路和負載瞬態期間的輸出電壓振鈴。