ZHCS614G October 2011 – September 2022 TPS40422
PRODUCTION DATA
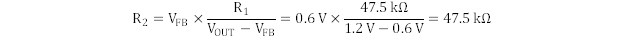
A feedback divider between the DIFFO pin and AGND sets the output voltage. The components in Figure 8-1 that determine the nominal output voltage are R1 and R2.
Calculation for 1.2-V output: Select the high-side resistor (R1) to be 47.5 k? and use Equation 31 to calculate low-side resistor R2.

where