ZHCS614G October 2011 – September 2022 TPS40422
PRODUCTION DATA
The output capacitor is typically selected by the output load transient-response requirement and by allowable output voltage ripple.
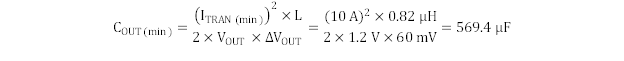
Equation 23 calculates the minimum output capacitance needed to satisfy overvoltage and undervoltage requirements during the load step. In practical design to account for de-rating and variation it is strongly recommended to multiply the calculated capacitance value by a factor between 1.5 and 5 based on the tests in the actual circuit. In this example, two 330-μF polymer capacitors with ESR of 15 m? were chosen as well as three 100-μF ceramic capacitor with ESR of 3 m?. The total equivalent capacitance COUT is 1004 μF. The additional 0.1-μF capacitor (C38 and C39) is used for filtering of high frequency noise.

where
Using the known target output capacitance value, Equation 24 calculates the maximum ESR allowed to meet the output voltage ripple specification.
