ZHCSCV4C October 2014 – April 2021 TMP451-Q1
PRODUCTION DATA
The TMP451-Q1 device is designed to be used with either discrete transistors or substrate transistors built into processor chips and ASICs. Either NPN or PNP transistors can be used, as long as the base-emitter junction is used as the remote temperature sense. NPN transistors must be diode-connected. PNP transistors can either be transistor- or diode-connected (see Figure 8-1).
Errors in remote temperature sensor readings are typically the consequence of the ideality factor and current excitation used by the TMP451-Q1 device versus the manufacturer-specified operating current for a given transistor. Some manufacturers specify a high-level and low-level current for the temperature-sensing substrate transistors. The TMP451-Q1 device uses 7.5 μA for ILOW and 120 μA for IHIGH.
The ideality factor (η) is a measured characteristic of a remote temperature sensor diode as compared to an ideal diode. The TMP451-Q1 allows for different η-factor values; see the η-Factor Correction Register section.
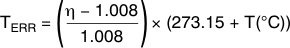
The ideality factor for the TMP451-Q1 device is trimmed to be 1.008. For transistors that have an ideality factor that does not match the TMP451-Q1, Equation 4 can be used to calculate the temperature error.
For the equation to be used correctly, actual temperature (°C) must be converted to Kelvin (K).

where
For η = 1.004 and T(°C) = 100°C:

If a discrete transistor is used as the remote temperature sensor with the TMP451-Q1, the best accuracy can be achieved by selecting the transistor according to the following criteria:
Based on this criteria, two recommended small-signal transistors are the 2N3904 (NPN) or 2N3906 (PNP).