ZHCSLD6A June 2020 – December 2021 TMAG5170-Q1
PRODUCTION DATA
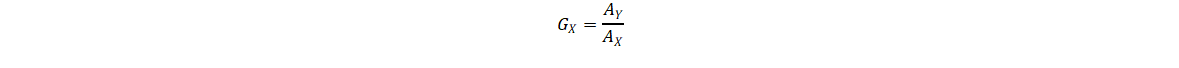
為了準確測量角度,必須通過在 MAG_GAN_CONFIG 寄存器中選擇適當的增益調整值來對兩個軸的振幅進行標準化。增益調整值是介于 0 和 1 之間的十進制小數。要計算此小數值,必須遵循以下步驟:


示例 1:如果 AX = AY = 60,000,GAIN_SELECTION 寄存器位可以設置為 00b。在這種情況下,GAIN_VALUE 寄存器位是不用考慮位。
示例 2:如果 AX= 60,000 且 AY = 45,000,則 GX = 45,000/60,000 =0.75。為 GAIN_SELECTION 寄存器位選擇 01b。
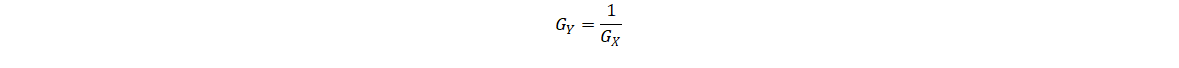
示例 3:如果 AX= 45,000 且 AY = 60,000,則 GX = (60,000/45,000) =1.33。由于 GX > 1,增益調整需要在 GY = 1/GX 的情況下應用于 Y 軸。為 GAIN_SELECTION 寄存器位選擇 10b。