ZHCSUU5A January 2024 – March 2025 TAC5112-Q1
PRODUCTION DATA
為了去除直流偏移分量并衰減錄音數據中不需要的低頻噪聲成分,該器件支持可編程高通濾波器 (HPF)。HPF 不是獨立于通道的濾波器設置,但全局適用于所有錄音通道。該 HPF 使用一階無限脈沖響應 (IIR) 濾波器構建,并具有足夠高的效率來濾除信號中可能的直流分量。表 6-46 展示了可用的預定義 -3dB 截止頻率,該頻率可使用 P0_R114_D[5:4] 的 ADC_DSP_HPF_SEL[1:0] 寄存器位進行設置。此外,為了針對特定應用實現自定義的 –3dB 截止頻率,該器件還允許在 HPF_SEL[1:0] 寄存器位設置為 2'b00 時對一階 IIR 濾波器系數進行編程。圖 6-28 展示了 HPF 濾波器的頻率響應圖。
| P0_R114_D[5:4]:ADC_DSP_HPF_SEL[1:0] | -3dB 截止頻率設置 | 16kHz 采樣速率下截止頻率為 -3dB | 48kHz 采樣速率下 截止頻率為 -3dB |
|---|---|---|---|
| 00 | 可編程一階 IIR 濾波器 | 可編程一階 IIR 濾波器 | 可編程一階 IIR 濾波器 |
| 01(默認值) | 0.00002 × fS | 0.25Hz | 1Hz |
| 10 | 0.00025 × fS | 4Hz | 12Hz |
| 11 | 0.002 × fS | 32Hz | 96Hz |
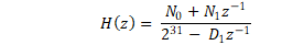
圖 6-28 HPF 濾波器頻率響應圖方程式 3 給出了一階可編程 IIR 濾波器的傳遞函數:

對于具有默認系數的該一階可編程 IIR 濾波器,其頻率響應在增益為 0dB(全通濾波器)時是平坦的。主機器件可以通過對表 6-47 中的 IIR 系數進行編程來覆蓋頻率響應,從而實現高通濾波或任何其他必要濾波所需的頻率響應。如果 ADC_DSP_HPF_SEL[1:0] 設置為 2'b00,則主機器件必須寫入這些系數值以實現所需的頻率響應,然后再對任何錄音通道上電以進行錄音。表 6-47 展示了一階 IIR 濾波器的濾波器系數。
| 濾波器 | 濾波器系數 | 默認系數值 | 系數寄存器映射 |
|---|---|---|---|
| 可編程一階 IIR 濾波器(可分配至 HPF 或任何其他所需濾波器) | N0 | 0x7FFFFFFF | P10_R120-R123 |
| N1 | 0x00000000 | P10_R124-R127 | |
| D1 | 0x00000000 | P11_R8-R11 |