ZHCUAW0A march 2023 – august 2023 TPS56837
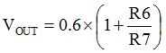
要更改 EVM 的輸出電壓,請更改電阻器 R6 (RFB_TOP) 和電阻器 R7 (RFB_BOT) 阻值。更改 R6 和 R7 阻值可以更改 0.6V 以上的輸出電壓。特定輸出電壓下的 R6 和 R7 阻值可以使用方程式 1 計算得出。

表 3-1 列出了一些常見輸出電壓下的 R6 和 R7 阻值。
開關頻率 (kHz) | 輸出電壓(1) (V) | R6(2) (kΩ) | R7 (kΩ) | L1 (μH) | COUT(3) (μF) | C10(4) (pF) |
|---|---|---|---|---|---|---|
| 典型值 | ||||||
500 | 1.05 | 7.5 | 10 | 1 | 68 | |
| 1.8 | 20 | 10 | 1.5 | 68 | ||
| 3.3 | 45.3 | 10 | 2.2 | 62 | 150 | |
| 5 | 73.2 | 10 | 3.3 | 35 | 150 | |
9 | 140 | 10 | 4.7 | 22 | 100 | |
12 | 383 | 20 | 5.6 | 17 | 30 | |
800 | 1.05 | 7.5 | 10 | 0.68 | 68 | |
1.8 | 20 | 10 | 1 | 68 | ||
3.3 | 45.3 | 10 | 1.5 | 62 | 150 | |
5 | 73.2 | 10 | 2.2 | 35 | 150 | |
9 | 140 | 10 | 3.3 | 22 | 100 | |
12 | 383 | 20 | 3.3 | 17 | 30 | |
1200 | 1.05 | 7.5 | 10 | 0.47 | 68 | |
1.8 | 20 | 10 | 0.68 | 68 | ||
3.3 | 45.3 | 10 | 1 | 62 | 150 | |
5 | 73.2 | 10 | 1.5 | 35 | 150 | |
9 | 140 | 10 | 2.2 | 22 | 100 | |
12 | 383 | 20 | 2.2 | 17 | 30 |