ZHCSPH5C June 2022 – March 2023 UCC28C50 , UCC28C51 , UCC28C52 , UCC28C53 , UCC28C54 , UCC28C55 , UCC28C56H , UCC28C56L , UCC28C57H , UCC28C57L , UCC28C58 , UCC28C59 , UCC38C50 , UCC38C51 , UCC38C52 , UCC38C53 , UCC38C54 , UCC38C55
PRODUCTION DATA
斜率補償是指在占空比超過 50% 的情況下可能出現的大信號次諧波不穩定,其中上升的初級側電感器電流斜率可能與下降的次級側電流斜率不匹配。次諧波振蕩回導致輸出電壓紋波增加,甚至可能限制轉換器的功率處理能力。
斜率補償的目標是實現理想的質量系數 (QP),即在一半的開關頻率下該系數等于 1。QP 通過方程式 31 計算得出。

其中

其中
斜率補償的最佳目標是使 QP = 1;重新排列方程式 32 后,確定斜率補償系數的理想值:

為了使該設計具有足夠的斜率補償,當 D 達到其最大值 0.627 時,MC 必須為 2.193。
CS 引腳處的電感器上升斜率 (Sn) 通過方程式 34 計算得出。

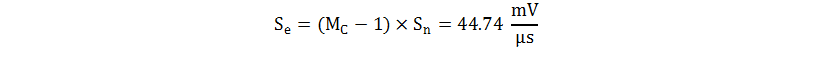
補償斜率 Se 通過方程式 35 計算得出。

補償斜率通過 RRAMP 和 RCSF 添加到系統中。CRAMP 是一個交流耦合電容器,其允許使用振蕩器的電壓斜坡,而不會為電流檢測增加失調電壓;選擇一個接近高頻短路的值(例如 10nF)作為起點,并根據需要進行調整。RRAMP 和 RCSF 電阻器從振蕩器電荷斜率形成一個分壓器,該比例斜坡被注入 CS 引腳以增加斜率補償。選擇遠大于 RRT 電阻的 RRAMP 值,這樣就不會使內部振蕩器的負載下降,導致頻率偏移。振蕩器電荷斜率通過使用 RT/CT 鋸齒波形的峰峰值電壓 VOSCpp(等于 1.9V)和最小導通時間計算得出,如方程式 37 所示。


為了實現 44.74mV/μs 的補償斜率,可以通過方程式 38 計算 RCSF 電阻。在本設計中,選擇 RRAMP 為 24.9kΩ,RCSF 為 3.8kΩ 電阻器。
