ZHCSPL6 January 2022 TPS7H4003-SEP
PRODUCTION DATA
All the design parameters are relevant when configuring the slope compensation. The first requirement is that the inductor peak current ILpeak must be less than the compensated maximum high side FET current, ILmax as shown in Equation 12.

ILpeak can be calculated as shown in Equation 13, where KL relates Iripple the inductor ripple current, to IO the output current, as shown in Equation 14.


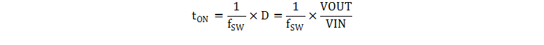
ILmax is defined as the difference between the high side current limit specified in the Electrical Characteristics, and the change in current due to the ramp, ISC as shown in Equation 15. ISC can be calculated using Equation 16, where tON is the on time for the high side FET. tON depends on the switching frequency and is related to the duty cycle as shown in Equation 17.



The last requirement related to the slope compensation is related to the maximum value for KL depending on the SC value selected so that the desired IO can be supported. In other words, the maximum value for KL such that ILpeak is less than ILmax. By substituting Equation 16 and Equation 17 into the combinations of Equation 13 and Equation 15, the equation for the maximum value for KL can be derived as shown in Equation 18.
