at operating temperature TJ = 25°C,
VOUT(NOM) = 0.9 V, VIN = VOUT(NOM) + 0.1 V,
VBIAS = VOUT(NOM) + 1.4 V, IOUT = 1 mA,
VEN = VIN, CIN = 1 μF, COUT = 1 μF,
and CBIAS = 0.1 μF (unless otherwise noted)
Figure 6-1 Output Voltage Accuracy vs VIN
Figure 6-3 Output Voltage Accuracy vs IOUT
Figure 6-5 VBIAS Dropout
Voltage vs IOUT
Figure 6-7 VBIAS Input
Current vs VBIAS
Figure 6-9 VBIAS Shutdown
IQ vs VBIAS
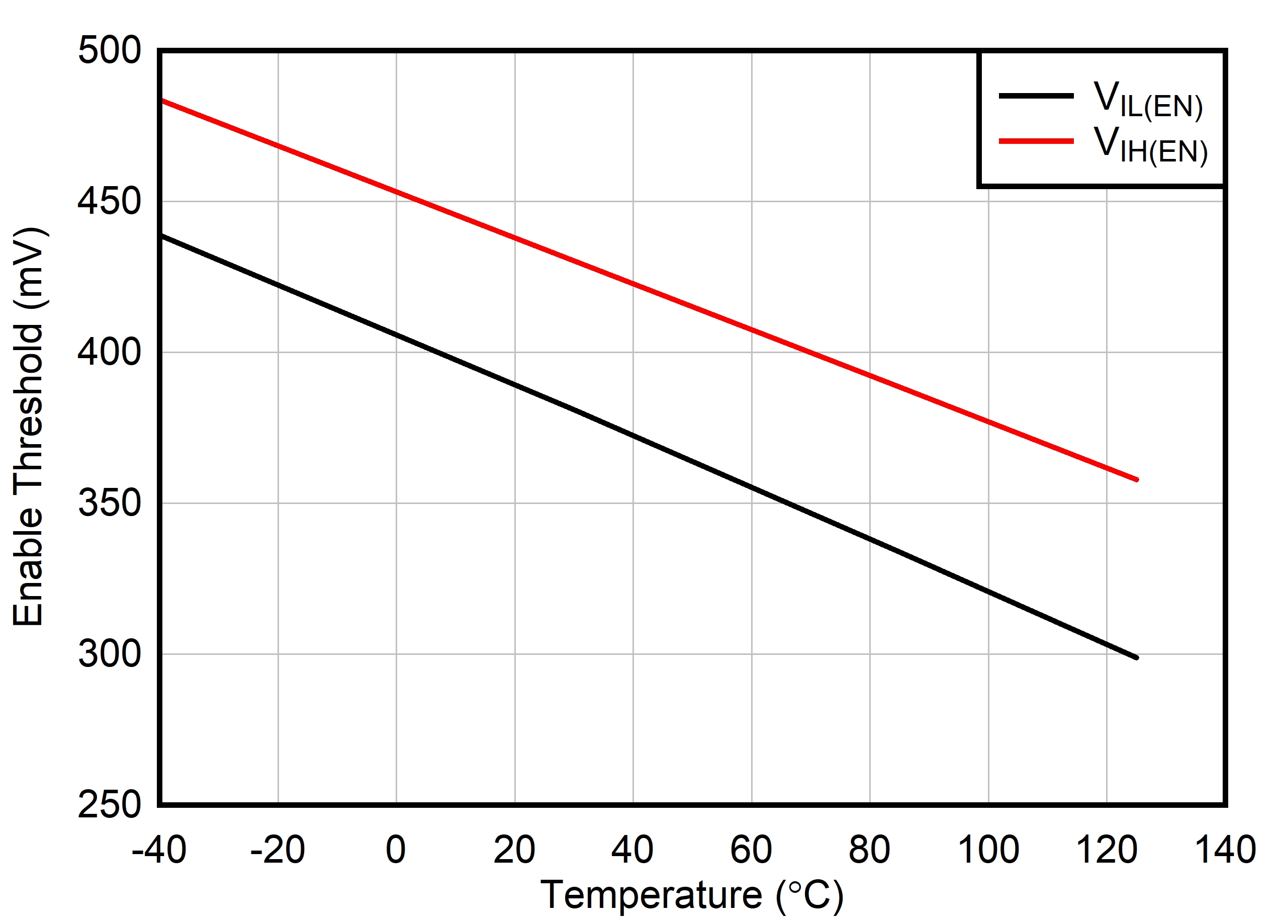
Figure 6-11 Enable Threshold vs
Temperature
Figure 6-13 VBIAS UVLO vs
Temperature
Figure 6-15 Start-Up With
VIN Before VBIAS and VEN
Figure 6-17 Start-Up With
VIN and VEN Before VBIAS
| tr =
tf = 1 μs, IOUT = 300
mA |
Figure 6-19 Line Transient From 1 V to
2.2 V
Figure 6-21 Load Transient From 100 μA
to 320 mA
| CBIAS = 0
μF, IOUT = 300 mA |
Figure 6-23 VIN PSRR vs
Frequency and COUT
Figure 6-25 VBIAS PSRR vs
Frequency and VBIAS – VOUT
Figure 6-2 Output Voltage Accuracy vs
VBIAS
Figure 6-4 VIN Dropout
Voltage vs IOUT
Figure 6-6 VBIAS Input
Current vs VBIAS
Figure 6-8 VIN Shutdown
IQ vs VIN
Figure 6-10 Foldback Current Limit vs
IOUT
Figure 6-12 VIN UVLO vs
Temperature
Figure 6-14 Start-Up With
VBIAS Before VIN
Figure 6-16 Start-Up With
VIN and VBIAS Before VEN
Figure 6-18 Line Transient From 1 V to
2.2 V
Figure 6-20 Load Transient From 100 μA
to 320 mA
| CBIAS = 0
μF, IOUT = 300 mA |
Figure 6-22 VIN PSRR vs
Frequency and VIN – VOUT
Figure 6-24 VIN PSRR vs
Frequency and IOUT
Figure 6-26 Output Noise vs Frequency
and IOUT