ZHCSMV4A December 2020 – December 2022 TPS548B28
PRODUCTION DATA
There are three considerations for selecting the value of the output capacitor:


Equation 20 and Equation 21 calculate the minimum capacitance to meet the transient response requirement of 50 mV with a 10-A step. These equations calculate the necessary output capacitance to hold the output voltage steady while the inductor current ramps up or ramps down after a load step.


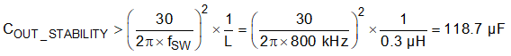
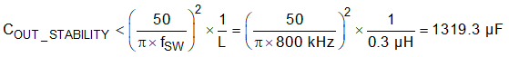
The output capacitance needed to meet the overshoot requirement is the highest value so this sets the required minimum output capacitance for this example. Stability requirements can also limit the maximum output capacitance and Equation 22 calculates the recommended maximum output capacitance. This calculation keeps the LC double pole above 1/100th the fSW. It can be possible to use more output capacitance but the stability must be checked through a bode plot or transient response measurement. The selected output capacitance is 8 x 47-μF 6.3-V ceramic capacitors. When using ceramic capacitors, the capacitance must be derated due to DC and AC bias effects. The selected capacitors derate to 85% their nominal value giving an effective total capacitance of 320 μF. This effective capacitance meets the minimum and maximum requirements.

This application uses all ceramic capacitors so the effects of ESR on the ripple and transient were ignored. If using non-ceramic capacitors, as a starting point, the ESR must be below the values calculated in Equation 23 to meet the ripple requirement and Equation 24 to meet the transient requirement. For more accurate calculations or if using mixed output capacitors, the impedance of the output capacitors must be used to determine if the ripple and transient requirements can be met.

