ZHCS181G August 2011 – April 2021 TPS53355
PRODUCTION DATA
請參考 PDF 數據表獲取器件具體的封裝圖。
For VOUT = 5 V, a 744355182 inductor is used. For 1 ≤ VOUT ≤ 3.3 V, a PA0513.441 inductor is used.
Figure 6-1 VDD
Supply Current vs Junction Temperature
Figure 6-3 TRIP
Pin Current vs Junction Temperature
Figure 6-5 Switching Frequency vs Output Current
Figure 6-7 Switching Frequency vs Output Current
Figure 6-9 Switching Frequency vs Output Voltage
Figure 6-11 Output Voltage vs Input Voltage
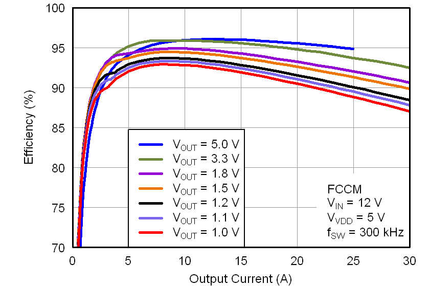
Figure 6-13 Efficiency vs Output Current
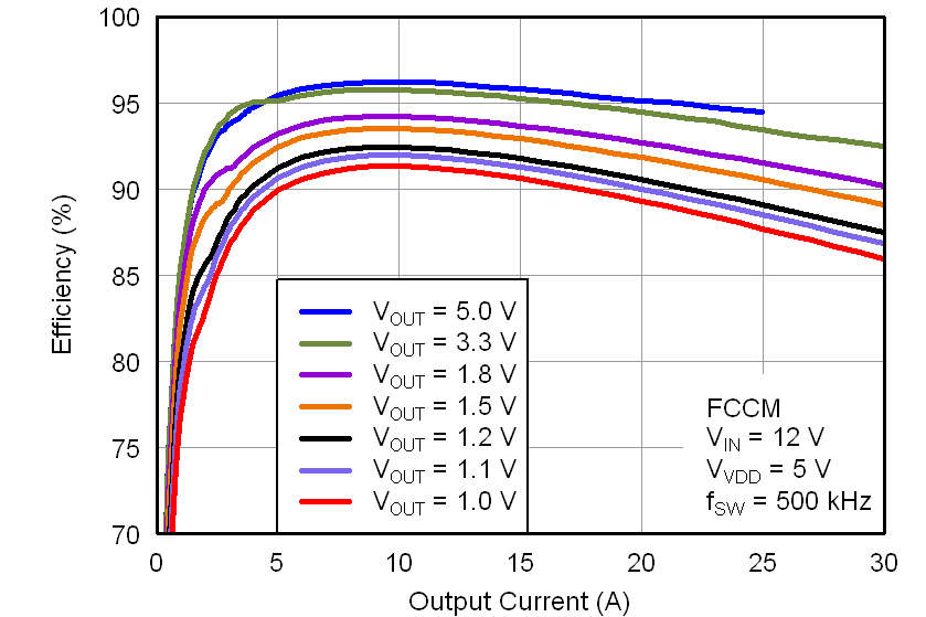
Figure 6-15 Efficiency vs Output Current
Figure 6-17 Efficiency vs Output Current
Figure 6-19 Start-Up Waveforms
Figure 6-21 Shutdown Waveforms
Figure 6-23 1.1-V
Output FCCM Mode Steady-State Operation
Figure 6-25 CCM
to DCM Transition Waveforms
Figure 6-27 FCCM
Load Transient
Figure 6-29 Overcurrent Protection Waveforms
Figure 6-31 Over-temperature Protection Waveforms
| VIN = 12 V | VOUT = 5 V | fSW = 500 kHz |
Figure 6-2 VDD
Shutdown Current vs Junction Temperature
Figure 6-4 OVP/UVP Trip Threshold vs Junction Temperature
Figure 6-6 Switching Frequency vs Output Current
Figure 6-8 Switching Frequency vs Output Current
Figure 6-10 Output Voltage vs Output Current
Figure 6-12 Efficiency vs Output Current
Figure 6-14 Efficiency vs Output Current
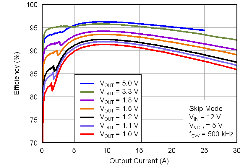
Figure 6-16 Efficiency vs Output Current
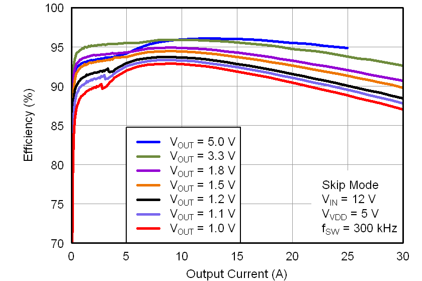
Figure 6-18 Efficiency vs Output Current
Figure 6-20 Pre-Bias Start-Up Waveforms
Figure 6-22 UVLO
Start-Up Waveforms
Figure 6-24 1.1-V
Output Skip Mode Steady-State Operation
Figure 6-26 DCM
to CCM Transition Waveforms
Figure 6-28 Skip
Mode Load Transeint
Figure 6-30 Output Short Circuit Protection Waveforms
| VIN = 12 V | VOUT = 1.2 V | fSW = 500 kHz |