ZHCSD54C October 2014 – February 2023 TDC1000
PRODUCTION DATA
TDC1000 可用于測量已知距離的飛行時間,以計算液體中的聲速 (cmedium)。該應用使用與液位示例相同的電路,但將采用不同配置的換能器連接到第二個通道。在該示例中,使用換能器 A 來測量液體中的聲速 (cmedium)。
還可以測量溫度以補償聲音的溫度變化。利用已知的距離、TOF 和溫度,可以確定液體中的聲速并驗證介質的種類。
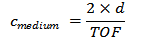
測量固定距離的飛行時間后,可以通過以下公式計算聲速:

其中
測量過程與上述液位示例相同。聲速可用于唯一識別各種流體。在該示例中,使用濃度變化的所需精度分辨率 0.5% 來測量柴油機尾氣處理液 (DEF) 的濃度。對于大多數流體,聲速會隨溫度而變化,因此每個應用都會有所不同。在該示例中,所有樣本都處于 23°C 的環境溫度下。