ZHCSD54C October 2014 – February 2023 TDC1000
PRODUCTION DATA
渡越時間式超聲波流量計根據以下原理工作:運動流體中的聲波在流動方向上(順流)傳播得較快,在與流動方向相反的方向上(逆流)傳播得較慢。
系統至少需要兩個換能器。第一個換能器在逆流周期中用作發送器,在順流周期中用作接收器,第二個換能器在逆流周期中用作接收器,在順流周期中用作發送器。超聲波流量計通過在一對換能器之間交替運行發送周期和接收周期并準確測量兩個方向的飛行時間來工作。
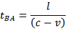
圖 9-8 逆流/順流發送脈沖和接收脈沖之間的關系在該示例中,逆流 TOF 定義為:

其中
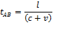
在該示例中,順流 TOF 定義為:

其中
TOF 差定義為:

其中
在計算飛行時間差 (ΔTOF) 之后,可以使用以下公式將管道中的水流速度與 ΔTOF 相關聯:

其中
最后,質量流速的計算公式如下所示:

其中