ZHCSKZ5A March 2020 – August 2020 LM25184-Q1
PRODUCTION DATA
Set the turns ratio of the transformer secondary windings using Equation 33, where NS1 and NS2 are the number of secondary turns for the respective outputs.

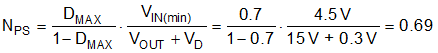
Choose a primary-secondary turns ratio for a 15-V output based on an approximate 70% max duty cycle at minimum input voltage using Equation 34. The transformer turns ratio when considering both outputs is thus specified as 1 : 1.5 : 0.8.

Select a magnetizing inductance based on the minimum off-time constraint using Equation 35. Choose a value of 7 μH and a saturation current of 5 A for this application.

Find the maximum output current for a given turns ratio, assuming the outputs are symmetrically loaded, using Equation 36.
