可按照下文概述的過程來為穩定的控制環路選擇補償元件:
- 假定有效輸出電容為 100μF,根據指定的 60kHz 開環增益交叉頻率 fC,可使用方程式 43 來計算 RCOMP。為 RCOMP 選擇 10k? 的標準值。
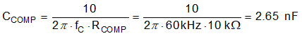
方程式 43. 
- 為了在交叉時提供足夠的相位提升,同時還允許在負載或線路瞬變期間實現快速穩定時間,請選擇 CCOMP 來在以下兩者中較高的一個位置放置零點:(1) 交叉頻率的十分之一或 (2) 負載極點。為 CCOMP 選擇 2.7nF 的標準值。
方程式 44. 
這種低電容值還有助于從壓降中恢復時避免輸出電壓過沖(當輸入電壓低于輸出電壓設定點并且 VCOMP 達到高電平時)。
- 計算出 CHF,以便在 ESR 零點處形成一個極點并衰減 COMP 處的高頻噪聲。CBW 是誤差放大器的帶寬限制電容。CHF 可能不足以滿足某些設計中所需的要求,就像這個設計。CHF 可以不組裝,也可以與 22pF 小型電容一起使用來進一步濾除噪聲。
方程式 45. 
注: 設置具有高 RCOMP 和低 CCOMP 值的快速環路,以便改善從壓降操作恢復時的響應。
有關設計和管理電源的技術解決方案、行業趨勢和見解,請參閱 TI 的技術文章。