ZHCA786C December 2020 – January 2021 LMC7101 , OPA170
設計目標
| 輸入 1 | 輸入 2 | 輸出 | 頻率 | 電源 | ||||
|---|---|---|---|---|---|---|---|---|
| Vi1Min | Vi1Max | Vi2Min | Vi2Max | VoMin | VoMax | f | Vcc | Vee |
| –2.5V | 2.5V | –250mV | 250mV | –4.9V | 4.9V | 10kHz | 5V | –5V |
設計說明
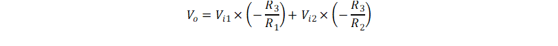
此設計對兩個輸入信號 Vi1 和 Vi2 求和(相加),并將其進行反轉。輸入信號通常來自低阻抗源,因為該電路的輸入阻抗由輸入電阻器 R1 和 R2 決定。反相放大器的共模電壓等于連接到同相節點的電壓,該節點在該設計中接地。
設計說明
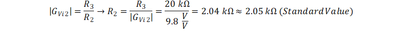
設計步驟
下面給出了該電路的傳遞函數。













設計仿真
直流仿真結果
該仿真會將 Vi1 從 –2.5V 快速改變至 2.5V,同時 Vi2 則恒定保持在 0V。輸出則被反轉,范圍在 –2.44V 至 2.44V 之間。
該仿真會將 Vi2 從 –250mV 快速改變至 250mV,同時 Vi1 則恒定保持在 0V。輸出則被反轉,范圍在 –2.44V 至 2.44V 之間。
交流仿真結果
該仿真展示了電路的帶寬。注意,兩個輸入的帶寬是相同的。這是因為決定帶寬的是電路的噪聲增益,而不是各個輸入的信號增益。這些結果與計算得到的值十分相符。
瞬態仿真結果
該仿真顯示了兩個輸入信號的反轉和求和。Vi1 是一個 1kHz 5Vpp 的正弦波,Vi2 則是一個 10kHz 500mVpp 的正弦波。由于兩個輸入均被適當放大或衰減,因此輸出在規格之內。
設計參考資料
有關 TI 綜合電路庫的信息,請參閱模擬工程師電路手冊。
請參閱電路 SPICE 仿真文件 SBOC494。
有關大量運算放大器主題(包括共模范圍、輸出擺幅、帶寬和如何驅動 ADC)的更多信息,請訪問 TI 高精度實驗室。
設計特色運算放大器
| OPA170 | |
|---|---|
| Vss | 2.7V 至 36V |
| VinCM | (Vee-0.1V) 至 (Vcc-2V) |
| Vout | 軌到軌 |
| Vos | 0.25mV |
| Iq | 110μA |
| Ib | 8pA |
| UGBW | 1.2MHz |
| SR | 0.4V/μs |
| 通道數 | 1、2、4 |
| www.cqwzaes.cn/product/cn/opa170 | |
設計備選運算放大器
| LMC7101 | |
|---|---|
| Vss | 2.7V 至 15.5V |
| VinCM | 軌到軌 |
| Vout | 軌到軌 |
| Vos | 110μV |
| Iq | 0.8mA |
| Ib | 1pA |
| UGBW | 1.1MHz |
| SR | 1.1V/μs |
| #通道數 | 1 |
| www.cqwzaes.cn/product/cn/lmc7101 | |
| 修訂版本 | 日期 | 更改 |
|---|---|---|
| C | 2021 年 1 月 | 更新了公式格式 |
| B | 2020 年 12 月 | 更新了“設計目標”表 |
| A | 2019 年 1 月 | 縮短了標題。 將標題角色更新為放大器。 向電路指導手冊登錄頁面添加了鏈接。 |