SNVA067D April 2013 – August 2022 LM3478 , LM3481 , LM3488
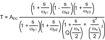
Now that the transfer function for the separate circuits has been calculated the loop gain can be calculated by multiplication of these functions. We can then express the total loop gain as T:

The DC gain of the system is also a result of the product of DC terms in the three transfer functions and can be calculated by the equation: