ZHCSQS7H September 1994 – October 2024 UC1842A , UC1843A , UC1844A , UC1845A , UC2842A , UC2843A , UC2844A , UC2845A , UC3842A , UC3843A , UC3844A , UC3845A
PRODUCTION DATA
該應用設計過程展示了如何在離線反激式轉換器中設置和使用 UC2842A 峰值電流模式控制器,該控制器通過通用輸入轉換為 12V、48W 的穩壓輸出。
若要在連續模式反激式應用中使用 UC2842A 峰值電流模式控制器進行設置和設計,需要了解關于功率級的一些知識。首先,根據輸出功率級別 (POUT)、效率 (?)、最小輸入電壓 (VIN(min))、線路頻率 (fLINE) 和最小體電壓計算所需的輸入大容量電容 (CIN)。對于此設計示例,讓 VBULK(min) = 95V。


輸出電容 (COUT) 的容值旨在確保在大信號瞬態響應期間,輸出電壓下降不超過 10%。在該設計中,此時的電壓環路交叉頻率 (fC) 預計為 2.5kHz。

該設計中所選的 COUT 為 2200μF 電容器,等效串聯電阻 (ESR) 為 45mΩ。
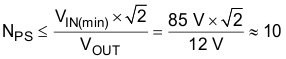
下一步,根據最小輸入電壓和輸出電壓來計算變壓器的最大初級與次級匝數比 (NPS)。

下一步,根據 UC2842A 的輸出電壓和偏置電壓來計算變壓器的輔助與次級匝數比 (NAS)。

一旦確定了變壓器匝數比,就可以根據最小體電壓、占空比 (D)、反射輸出電流和效率,計算變壓器的最小初級磁化電感 (LPM)。該設計中使用的變壓器的 LPM 為 1.7mH,NPS = 10,NAS = 1,fsw = 100kHz


選擇變壓器后,可以根據初級磁化電感紋波 (ILPM) 和通過變壓器的反射輸出電流,計算變壓器的初級峰值電流 (ILpPK)。


一旦計算出了初級峰值電流,就可以選擇電流檢測電阻器 (RCS)。

電阻器 RS1 和 RS2 用于設置該設計的斜率補償。電容器 CS1 是直流阻斷電容器,上拉電阻 RP 用于為電流檢測信號提供一定的失調電壓,以實現抗噪性。預選 RP 和 RS2 以向電流檢測信號添加 50mV 的直流失調電壓。
選擇 RS1 以將斜率補償設置為反激式電感器的紋波電流下降斜率的一半。這可以通過計算次級磁化電感 (LSM) 并對 RS1 進行以下計算來實現。RS1 公式中的 1.7V 是振蕩器的峰-峰值紋波電壓幅值。

其中

選擇電阻器 RI 和 RK 作為輸出基準,并可通過預選 RK 的值以及知曉的 TL431 基準電壓 (VTL431REF) 來計算電阻器值。為 RK 選擇 2.49kΩ 后,計算 RI 并為該電阻器選擇 9.53kΩ 的標準電阻器值。

這種使用 UC2842A 控制器的設計具有一個有趣的控制環路,其中包含許多組件。GOPTO(f) 是該設計中所用光隔離器的近似傳遞函數。光隔離器的極點頻率用 fP 表示。該設計中所用光隔離器的電流傳輸比為 1,極點頻率約為 5kHz。有關組件放置和節點電壓,請參見圖 7-1。為了簡化補償,電壓環路 (fC) 的交叉點必須小于光隔離器極點。



GBC(f) 是從光隔離器輸出到 PWM 控制電壓 的傳遞函數估計值。

占空比隨輸入的體電壓 (VBULK) 而變化。正常運行期間,VBULK 的范圍為 95V 至 375V。這導致占空比在 24% 到 56% 之間變化。

GCO(f) 是控制電壓 (VC) 對輸出傳遞函數的估計值,其中變量 Q 是品質因數。

品質因數 (Q) 由電壓中的初級磁化電感變化 (SN) 定義為占空比的函數;以及增加的斜率補償 (SE)。



為驗證電壓環路穩定,交叉頻率必須比反激式轉換器右半平面零點頻率 (fRHPZ) 的一半要小。在最小體電壓下的右半平面零點頻率約為 9.8kHz。對于本設計示例,電壓環路的目標交叉頻率為 1kHz。實際 fC 可能高于或低于目標值。


GCO(f) 的直流增益隨輸入的體電壓而變化。選擇電阻器 RZ 以在輸入到轉換器的電壓為 VBULK(min) 時交叉電壓環路,并在最大交叉頻率的 1/5 處進行交叉。

選擇電容器 CZ,以在電壓環路交叉處增加 45° 的相位裕度。本設計示例使用了 6.8nF 電容器。

選擇電容器 CP 以衰減控制環路的高頻增益。

GC(f) 是 TL431 補償的估計傳遞函數。

TV(f) 是系統閉環增益的估計理論傳遞函數。反饋環路響應在實際電路中可能有所不同,可能必須使用網絡分析儀進行調整,以滿足實際電路的性能和可靠性需求。必須針對設計參數的最壞情況變化對反饋環路響應進行評估。

對于本應用示例,該設計技術在 1kHz 時生成了一個理論反饋環路 (TV(f)) 交叉,在 95V 的最小輸入體電壓下具有大約 55° 的相位裕度。高壓線的理論電壓環路以 2.7kHz 的頻率進行交叉,相位裕度為 72°。請參閱圖 7-2 和圖 7-3。必須使用網絡分析器評估 TV(f),并根據實際電路行為按需調整環路補償。還要進行瞬態測試以驗證器件保持穩定。