SBVS121E August 2010 – May 2015 TPS7A49
PRODUCTION DATA.
| MIN | MAX | UNIT | ||
|---|---|---|---|---|
| Voltage | IN pin to GND pin | –0.3 | 36 | V |
| OUT pin to GND pin | –0.3 | 33 | V | |
| OUT pin to IN pin | –36 | 0.3 | V | |
| FB pin to GND pin | –0.3 | 2 | V | |
| FB pin to IN pin | –36 | 0.3 | V | |
| EN pin to IN pin | –36 | 0.3 | V | |
| EN pin to GND pin | –0.3 | 36 | V | |
| NR/SS pin to IN pin | –36 | 0.3 | V | |
| NR/SS pin to GND pin | –0.3 | 2 | V | |
| Current | Peak output | Internally limited | ||
| Temperature | Operating virtual junction, TJ | –40 | 125 | °C |
| Storage, Tstg | –65 | 150 | °C | |
| VALUE | UNIT | |||
|---|---|---|---|---|
| V(ESD) | Electrostatic discharge | Human body model (HBM), per ANSI/ESDA/JEDEC JS-001(1) | ±1500 | V |
| Charged device model (CDM), per JEDEC specification JESD22-C101(2) | ±500 | |||
| MIN | NOM | MAX | UNIT | ||
|---|---|---|---|---|---|
| VIN | Input supply voltage | 3 | 35 | V | |
| VEN | Enable supply voltage | 0 | VIN | V | |
| VOUT | Output voltage | VFB | 33 | V | |
| IOUT | Output current | 0 | 150 | mA | |
| TJ | Operating junction temperature | –40 | 125 | °C | |
| CIN | Input capacitor | 2.2 | 10 | µF | |
| COUT | Output capacitor | 2.2 | 10 | µF | |
| CNR | Noise reduction capacitor | 0 | 10 | nF | |
| CFF | Feed-forward capacitor | 0 | 10 | nF | |
| R2 | Lower feedback resistor | 237 | kΩ | ||
| THERMAL METRIC(1) | TPS7A49 | UNIT | ||
|---|---|---|---|---|
| DGN (HVSSOP PowerPAD) |
DRB (VSON) | |||
| 8 PINS | 8 PINS | |||
| RθJA | Junction-to-ambient thermal resistance | 63.4 | 47.7 | °C/W |
| RθJC(top) | Junction-to-case(top) thermal resistance | 53 | 55.3 | °C/W |
| RθJB | Junction-to-board thermal resistance | 37.4 | 23.3 | °C/W |
| ψJT | Junction-to-top characterization parameter | 3.7 | 1.1 | °C/W |
| ψJB | Junction-to-board characterization parameter | 37.1 | 23.5 | °C/W |
| RθJC(bot) | Junction-to-case(bottom) thermal resistance | 13.5 | 7.0 | °C/W |
| PARAMETER | TEST CONDITIONS | MIN | TYP | MAX | UNIT | |||
|---|---|---|---|---|---|---|---|---|
| VIN | Input voltage range | 3 | 35 | V | ||||
| VREF | Internal reference(4) | TJ = 25°C, VNR/SS = VREF | 1.176 | 1.188 | 1.212 | V | ||
| VFB | Feedback voltage | 1.185 | V | |||||
| VOUT | Output voltage range(1) | VIN ≥ VOUT(nom) + 1 V | VREF | 33 | V | |||
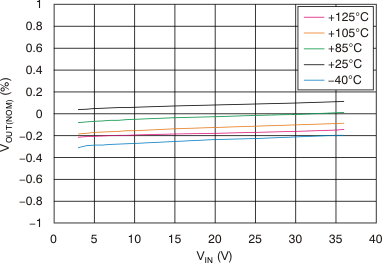
| Nominal accuracy | TJ = 25°C, VIN = VOUT(nom) + 0.5 V | –1.5 | 1.5 | %VOUT | ||||
| Overall accuracy | VOUT(nom) + 1 V ≤ VIN ≤ 35 V, 1 mA ≤ IOUT ≤ 150 mA |
–2.5 | 2.5 | %VOUT | ||||
![]() |
Line regulation | TJ = 25°C, VOUT(nom) + 1 V ≤ VIN ≤ 35 V | 0.086 | %VOUT | ||||
![]() |
Load regulation | TJ = 25°C, 1 mA ≤ IOUT ≤ 150 mA | 0.04 | %VOUT | ||||
| VDO | Dropout voltage | VIN = 95% VOUT(nom), IOUT = 100 mA | 260 | mV | ||||
| VIN = 95% VOUT(nom), IOUT = 150 mA | 333 | 600 | mV | |||||
| ILIM | Current limit | VOUT = 90% VOUT(nom) | 220 | 309 | 500 | mA | ||
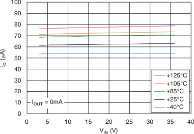
| IGND | Ground current | IOUT = 0 mA | 49 | 100 | μA | |||
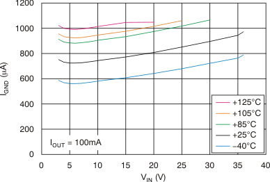
| IOUT = 100 mA | 800 | μA | ||||||
| ISHDN | Shutdown supply current | VEN = 0.4 V | 0.8 | 3 | μA | |||
| IFB | Feedback current(2) | 3 | 100 | nA | ||||
| IEN | Enable current | VEN = VIN = VOUT(nom) + 1 V | 0.02 | 1 | μA | |||
| VEN = VIN = 35 V | 0.2 | 1 | μA | |||||
| VEN(high) | Enable high-level voltage | 2.1 | VIN | V | ||||
| VEN(low) | Enable low-level voltage | 0 | 0.4 | V | ||||
| Vn | Output noise voltage | VIN = 3 V, VOUT(nom) = VREF, COUT = 10 μF, CNR/SS = 10 nF, BW = 10 Hz to 100 kHz | 15.4 | μVRMS | ||||
| VIN = 6.2 V, VOUT(nom) = 5 V, COUT = 10 μF, CNR/SS = CFF(3) = 10 nF, BW = 10 Hz to 100 kHz |
21.15 | μVRMS | ||||||
| PSRR | Power-supply rejection ratio | VIN = 6.2 V, VOUT(nom) = 5 V, COUT = 10 μF, CNR/SS = CFF(3) = 10 nF, f = 120 Hz | 72 | dB | ||||
| Tsd | Thermal shutdown temperature | Shutdown, temperature increasing | 170 | °C | ||||
| Reset, temperature decreasing | 150 | °C | ||||||
| TJ | Operating junction temperature | –40 | 125 | °C | ||||



















