ZHCSYW7 September 2025 TMP461-EP
PRODUCTION DATA
TMP461-EP 器件旨在與內置于處理器芯片和應用特定集成電路 (ASIC) 中的分立式晶體管或基板晶體管配合使用。只要將基極-發射極結作為遠程溫度傳感器,就可以使用 NPN 或 PNP 晶體管。NPN 晶體管必須采用二極管連接。PNP 晶體管可以采用晶體管連接,也可以采用二極管連接(請參閱圖 9-1)。圖 9-3 展示了在 D+ 和 D- 引腳之間連接一個晶體管時的 D+ 引腳波形。由于圖 7-1 中所示的三個不同的源電流,D+ 波形在溫度轉換期間呈現三個電壓電平。
遠程溫度傳感器讀數誤差通常是由于 TMP461-EP 器件使用的理想因子(η 因子)和電流激勵,與制造商針對給定晶體管指定的工作電流共同作用的結果。一些制造商為溫度檢測基板晶體管指定了高電平和低電平電流。TMP461-EP 器件對于 ILOW 使用 7.5μA,對于 IHIGH 使用 120μA。
理想因數 (η) 是與理想二極管相比得出的遠程溫度傳感器二極管的測量特性。TMP461-EP 允許使用不同的 n 因子值;請參閱 η 因子校正寄存器章節。
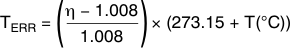
TMP461-EP 器件的理想因子修整為 1.008。如果晶體管的理想因子與 TMP461-EP 器件不匹配,可使用 方程式 4 計算溫度誤差。
要正確使用 方程式 4,必須將實際溫度 (°C) 轉換為開爾文 (K)。

其中
在 方程式 4 中,°C 和 K 的增量程度相同。
在 η = 1.004 且 T(°C) = 100°C 時:

如果將分立式晶體管用作 TMP461-EP 的遠程溫度傳感器,則可通過根據以下標準選擇晶體管來實現最佳精度:
根據該標準,建議采用的兩個小信號晶體管為 2N3904 (NPN) 或 2N3906 (PNP)。