ZHCSMY3 December 2020 PCM6020-Q1
PRODUCTION DATA
To remove the DC offset component and attenuate the undesired low-frequency noise content in the record data, the device supports a programmable high-pass filter (HPF). The HPF is not a channel-independent filter setting but is globally applicable for all ADC channels. This HPF is constructed using the first-order infinite impulse response (IIR) filter, and is efficient enough to filter out possible DC components of the signal. Table 8-14 shows the predefined –3-dB cutoff frequencies available that can be set by using the HPF_SEL[1:0] register bits of P0_R107. Additionally, to achieve a custom –3-dB cutoff frequency for a specific application, the device also allows the first-order IIR filter coefficients to be programmed when the HPF_SEL[1:0] register bits are set to 2'b00. Figure 8-19 shows a frequency response plot for the HPF filter.
| P0_R107_D[1:0] : HPF_SEL[1:0] | –3-dB CUTOFF FREQUENCY SETTING | –3-dB CUTOFF FREQUENCY AT 16-kHz SAMPLE RATE | –3-dB CUTOFF FREQUENCY AT 48-kHz SAMPLE RATE |
|---|---|---|---|
| 00 | Programmable 1st-order IIR filter | Programmable 1st-order IIR filter | Programmable 1st-order IIR filter |
| 01 (default) | 0.00025 × fS | 4 Hz | 12 Hz |
| 10 | 0.002 × fS | 32 Hz | 96 Hz |
| 11 | 0.008 × fS | 128 Hz | 384 Hz |
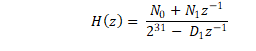
Figure 8-19 HPF Filter Frequency Response PlotEquation 1 gives the transfer function for the first-order programable IIR filter:

The frequency response for this first-order programmable IIR filter with default coefficients is flat at a gain of 0 dB (all-pass filter). The host device can override the frequency response by programming the IIR coefficients in Table 8-15 to achieve the desired frequency response for high-pass filtering or any other desired filtering. If HPF_SEL[1:0] are set to 2'b00, the host device must write these coefficients values for the desired frequency response before powering-up any ADC channel for recording. These programmable coefficients are 32-bit, two’s complement numbers. Table 8-15 shows the filter coefficients for the first-order IIR filter.
| FILTER | FILTER COEFFICIENT | DEFAULT COEFFICIENT VALUE | COEFFICIENT REGISTER MAPPING |
|---|---|---|---|
| Programmable 1st-order IIR filter (can be allocated to HPF or any other desired filter) | N0 | 0x7FFFFFFF | P4_R72-R75 |
| N1 | 0x00000000 | P4_R76-R79 | |
| D1 | 0x00000000 | P4_R80-R83 |