ZHCSL44A April 2020 – September 2020 LM25183
PRODUCTION DATA
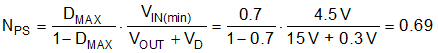
Choose a primary-secondary turns ratio for a 15-V output based on an approximate 70% max duty cycle at minimum input voltage using Equation 33. The transformer turns ratio when considering both outputs is thus specified as 1 : 1.5 : 1.5.

Select a magnetizing inductance based on the minimum off-time constraint using Equation 34. Choose a value of 9 μH and a saturation current of 3 A for this application.

Find the maximum output current for a given turns ratio, assuming the outputs are symmetrically loaded, using Equation 35.
