ZHCST20 September 2023 AMC131M02
PRODUCTION DATA
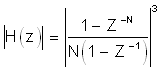
方程式 6 可計算用于 1024 或更低 OSR 的 sinc3 濾波器的 z 域傳遞函數。

其中:
方程式 7 根據連續時間頻率參數 f 計算 sinc3 濾波器的傳遞函數。

其中:
圖 8-7 和圖 8-8 展示了 OSR 為 1024 及更低值的快速穩定濾波器和 sinc3 濾波器的數字濾波器響應。圖 8-9 和圖 8-10 展示了 OSR 為 4096 的 sinc3 + sinc1 濾波器的數字濾波器響應。
圖 8-7 快速穩定和 Sinc3 數字濾波器響應
圖 8-9 OSR = 4096 時的數字濾波器響應,作為 Sinc3 + Sinc1 組合
圖 8-8 快速穩定和 Sinc3 數字濾波器響應,通帶詳細信息
圖 8-10 OSR = 4096 時的 Sinc3 + Sinc1 數字濾波器響應,通帶詳細信息