ZHCAAR2 May 2021 LMP2012QML-SP , LMP7704-SP , TPS7A4501-SP
4–20mA V-I 電流變送器以差分電壓作為輸入,并輸出從輸入到輸出具有線性關系的電流。這種線性關系取決于運算放大器的共模范圍以及晶體管和 LDO 的可用裕量。此外,采用 2 線環路設計的電流變送器要求環路路徑上所有組件輸出的靜態電流消耗值小于本設計中的最小輸出電流 Iout_min – 4mA。這包括運算放大器、LDO、流過 R3 和 R5 支路的電流,以及同一電源環路上的任何其他外設。只要滿足這一要求,運算放大器和晶體管就會進行補償,將剩余的電流提供給環路,從而向負載電阻輸出正確的電流。
輸出電流 Iout 是分別流過 R3 和 R4 的電流 I3 和 I4 之和:

I3 由 R1 和 R2 以及輸入電壓 Vin 和穩壓電源 Vreg 進行設置。在理想運行條件下,運算放大器的同相端子與本地接地端 Iret 之間存在虛擬短路。另請注意,Vreg 和 Vin 以 Iret 為基準。因此,I3 如下:

I4 是本地接地端返回電流 Iret 與流經晶體管 T1 的補償電流之和。
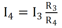
為了使運算放大器正確運行,R3 和 R4 上的電壓必須相等,所以得出V3 = V4 然后由此得出:

上述公式改寫為:

結合第一公式、第二公式和前述公式,推導出電路的傳遞函數為:

很明顯,流經 R3 且由 R1、R2、Vin 和 Vreg 設定,并被因子
1 + R3 / R4 放大。