ZHCSCI6D May 2014 – January 2018 TPS6213013A-Q1 , TPS62130A-Q1 , TPS62133A-Q1
PRODUCTION DATA.
The duty cycle of the buck converter is given by D=VOUT/VIN and increases as the input voltage comes close to the output voltage. In this case, the device starts 100% duty cycle operation turning on the high-side switch 100% of the time. The high-side switch stays turned on as long as the output voltage is below the internal set point. This allows the conversion of small input to output voltage differences, e.g. for longest operation time of battery-powered applications. In 100% duty cycle mode, the low-side FET is switched off.
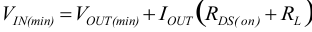
The minimum input voltage to maintain output voltage regulation, depending on the load current and the output voltage level, can be calculated as:
spacing

where
space