6 Specifications
6.1 Absolute Maximum Ratings
over operating junction temperature range (unless otherwise noted) (1)
|
|
MIN |
MAX |
UNIT |
| Voltage |
VCC |
–0.3 |
7 |
V |
| RST |
–0.3 |
7 |
| PB1, PB2 |
–0.3 |
7 |
| TS |
–0.3 |
VCC + 0.3 |
| Current |
RST pin |
–20 |
20 |
mA |
| Temperature(2) |
Operating junction, TJ |
–40 |
125 |
°C |
| Storage, Tstg |
–65 |
150 |
(1) Stresses beyond those listed under Absolute Maximum Ratings may cause permanent damage to the device. These are stress ratings only, which do not imply functional operation of the device at these or any other conditions beyond those indicated under Recommended Operating Conditions. Exposure to absolute-maximum-rated conditions for extended periods may affect device reliability.
(2) As a result of the low dissipated power in this device, it is assumed that TJ = TA.
6.2 ESD Ratings
|
VALUE |
UNIT |
| V(ESD) |
Electrostatic discharge |
Human body model (HBM), per ANSI/ESDA/JEDEC JS-001, all pins(1) |
±2000 |
V |
| Charged device model (CDM), per JEDEC specification JESD22-C101, all pins(2) |
±500 |
(1) JEDEC document JEP155 states that 500-V HBM allows safe manufacturing with a standard ESD control process.
(2) JEDEC document JEP157 states that 250-V CDM allows safe manufacturing with a standard ESD control process.
6.3 Recommended Operating Conditions
over operating junction temperature range (unless otherwise noted)
|
MIN |
NOM |
MAX |
UNIT |
| VCC |
Input supply voltage |
1.6 |
|
6.5 |
V |
| VTS |
TS pin voltage |
0 |
|
VCC |
V |
| VPB1, VPB2 |
PB1 and PB2 pin voltage |
0 |
|
6.5 |
V |
| VRST |
RST pin voltage |
0 |
|
6.5 |
V |
| IRST |
RST pin current |
0.00035 |
|
8 |
mA |
6.4 Thermal Information
| THERMAL METRIC(1) |
TPS342x |
UNIT |
| DRY (USON) |
| 6 PINS |
| RθJA |
Junction-to-ambient thermal resistance |
322 |
°C/W |
| RθJC(top) |
Junction-to-case (top) thermal resistance |
1185.2 |
| RθJB |
Junction-to-board thermal resistance |
184.7 |
| ψJT |
Junction-to-top characterization parameter |
34.9 |
| ψJB |
Junction-to-board characterization parameter |
182.6 |
| RθJC(bot) |
Junction-to-case (bottom) thermal resistance |
69.6 |
(1) For more information about traditional and new thermal metrics, see the
IC Package Thermal Metrics application report,
SPRA953.
6.5 Electrical Characteristics
All specifications are over the operating temperature range of –40°C < TJ < 125°C and 1.6 V ≤ VCC ≤ 6.5 V, unless otherwise noted. Typical values are at TJ = 25°C and VCC = 3.3 V.
| PARAMETER |
TEST CONDITIONS |
MIN |
TYP |
MAX |
UNIT |
| VCC |
Input supply |
|
1.6 |
|
6.5 |
V |
| ICC |
Supply current (standby) |
TPS3421, TPS3422 |
VCC = 3.3 V |
|
250 |
|
nA |
| VCC = 6.5 V, –40°C < TJ < 85°C |
|
|
1 |
µA |
| VCC = 6.5 V |
|
|
3.3 |
µA |
| TPS3420 |
VCC = 3.3 V |
|
350 |
|
nA |
| VCC = 6.5 V, –40°C < TJ < 85°C |
|
|
1.2 |
µA |
| VCC = 6.5 V |
|
|
3.4 |
µA |
| Supply current (active timer)(1) |
TPS3420, TPS3421 |
PB1, PB2 = 0 V, VCC = 6.5 V |
|
6 |
12 |
µA |
| TPS3422 |
PB1, PB2 = 0 V, VCC = 6.5 V |
|
106 |
136 |
| VIH |
High-level input voltage |
TPS3421, TPS3422 |
PB1, PB2 |
0.7 VCC |
|
|
V |
| TPS3420 |
PB1, PB2 |
0.85 |
|
|
| VIL |
Low-level input voltage |
TPS3421, TPS3422 |
PB1, PB2 |
0 |
|
0.3 VCC |
V |
| TPS3420 |
PB1, PB2 |
0 |
|
0.3 |
| RPB1 |
PB1 internal pullup resistance (TPS3422) |
|
|
65 |
|
kΩ |
| IPB |
Input current (PB1, PB2) |
TPS3420 TPS3421 |
PB1, PB2 = 0 V or VCC |
–50 |
|
50 |
nA |
| TPS3422 |
PB1, PB2 = VCC |
–50 |
|
50 |
| VOL |
Low-level output voltage |
VCC ≥ 4.5 V, ISINK = 8 mA |
|
|
0.4 |
V |
| VCC ≥ 3.3 V, ISINK = 5 mA |
|
|
0.3 |
| VCC ≥ 1.6 V, ISINK = 3 mA |
|
|
0.3 |
| Ilkg(OD) |
Open-drain output leakage current |
High impedance, VRST = 6.5 V |
–0.35 |
|
0.35 |
µA |
(1) Includes current through pullup resistor between input pin (PB1) and supply pin (VCC) for TPS3422.
6.6 Timing Requirements
All specifications are over the operating temperature range of –40°C < TJ < 125°C and 1.6 V ≤ VCC ≤ 6.5 V, unless otherwise noted. Typical values are at TJ = 25°C and VCC = 3.3 V.
|
MIN |
TYP |
MAX |
UNIT |
| tTIMER |
Push-button timer(1) |
|
–20% |
|
20% |
|
| TPS3420D: TS = GND |
6 |
7.5 |
9 |
s |
| TPS3420D: TS = VCC |
10 |
12.5 |
15 |
| TPS3421Ey, TPS3422Ey: TS = GND |
6 |
7.5 |
9 |
| TPS3421Ey, TPS3422Ey: TS = VCC |
|
0 |
|
| tRST |
Reset pulse duration |
|
–20% |
|
20% |
|
| TPS3421xC |
64 |
80 |
96 |
ms |
| TPS3421xG |
320 |
400 |
480 |
| TPS3422xG |
320 |
400 |
480 |
| tDD |
Detection delay (from input to RST)(2) |
For 0-s tTIMER condition |
|
150 |
|
µs |
| tSD |
Start-up delay(2) |
VCC rising |
|
300 |
|
µs |
(1) For devices with a 0-second delay while TS = VCC, this option is only for factory testing and is not intended for normal operation. In normal operation, the TS pin should be tied to GND.
(2) For devices with a 0-second delay when TS = VCC, reset asserts in tDD time when both PB inputs go low in this configuration. During start-up, if the PB inputs are low, reset asserts after a start-up time delay. This value is specified by design.

1. For the TPS3420, tRST is not a fixed time, but instead depends on one of the PB pins going high.
Figure 1. TPS3420 Timing Diagram
Figure 2. TPS3421 Timing Diagram
Figure 3. TPS3422 Timing Diagram
6.7 Typical Characteristics
At TJ = 25°C and VCC = 3.3 V, unless otherwise noted.
Figure 4. TPS3421: Standby Supply Current vs Supply Voltage
Figure 6. Push-Button Timer vs Temperature
Figure 8. Output Voltage Low vs Output Sink Current
Figure 10. Output Voltage Low vs Output Sink Current
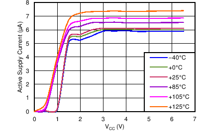
Figure 5. TPS3421: Active Supply Current vs Supply Voltage
Figure 7. Reset Pulse Duration vs Temperature
Figure 9. Output Voltage Low vs Output Sink Current